產品名稱:2-正辛基-4-異噻唑啉-3-酮 (OIT) 99%
英文化學名:2-nocty1-4-isotHiazoline-3-one
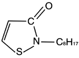
CAS NO.:26530-20-1
分子式:C11H19NOS
分子量:213.33
結構式:

質量標準:
外觀:淡黃至琥珀色透明液體
PH值(1%水溶液):4.0-7.0
密度:1.2
活性含量:≥99%
穩定性:易溶于有機溶劑,塑料
應用范圍:
本產品為液態,溶于有機溶劑,微溶于水,是一種低毒、高效、廣譜型防霉劑,對霉菌具有很強的殺滅作用,能達到理想的防霉效果,可廣泛應用于涂料、油漆、潤滑油、鞋油、皮革化學、木材制品和文物保護等諸多產品中。無VOC,強光和高溫下穩定,殺菌廣譜高效,可有效防止塑料中的細菌和真菌。使用時若濺于皮膚,要及時用清水沖洗,以免過敏或灼傷。
|